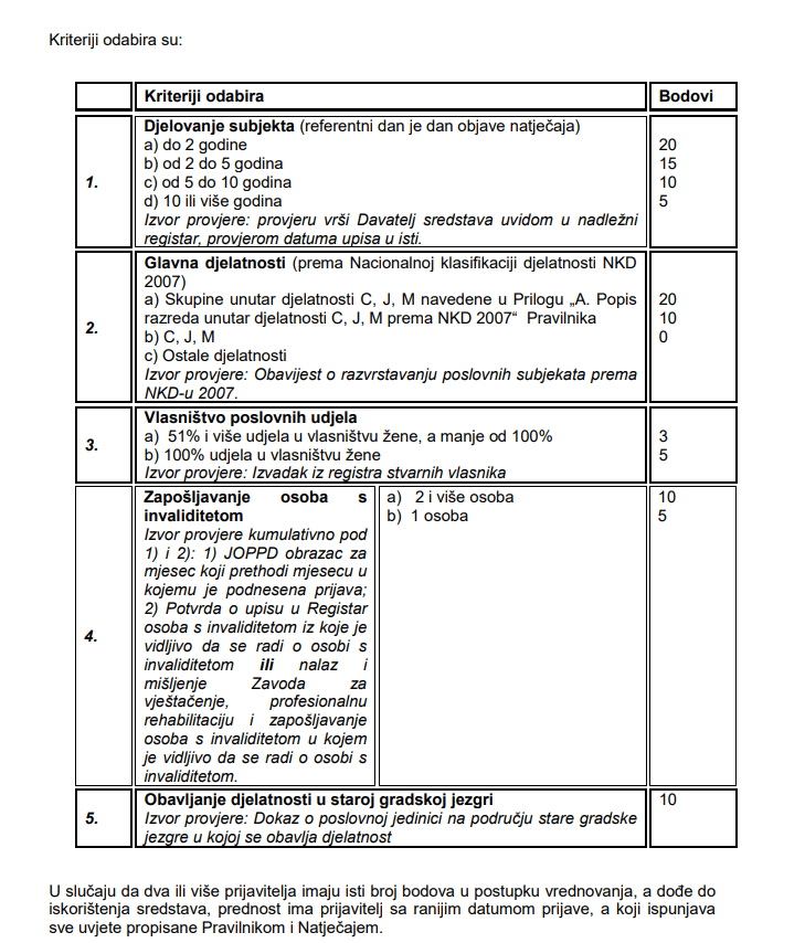
Prednost poticaja se daje na temelju spola u Splitskom projektu poticaja razvoja poduzetnistva 2024-2030. Kao da ima neka riječ za ovo?

by Spinx3r

16 comments
  1. Ako grad Split želi dat poticaj žensko vođenim firmama, be my guest, ja sam za! ali zašto na generalnom poticaju namjenjenom svima se radi diversifikacija po spolu.

  2. Hmm zar još uvijek nema poticaja i po broju obojenih i LGBT osoba? Koja smo mi primitivna nacija! Dosta mi je više strejt bijelih muškaraca u pozicijama moći!

  3. Kaj nemamo mi u ustavu da osoba ne smije biti diskriminirana po spolu?

  4. Koliko mi je poznato, u registru stvarnih vlasnika ne piše spol ni rod vlasnika

  5. A zakaj te ne muči što je značajno manje ženskih poduzetnica i što doslovno zanemariv broj muškaraca uopće uzme roditeljski dopust ili bolovanje za dijete nego sve to rade žene kojima je onda teže napredovati u karijeri?

    Pozitivna diskriminacija je dozvoljena s razlogom

  6. Kad sam isao na erasmus prije nekih 4 godine i kad smo ispunjavali papir za dodatna sredstva potpore bile su odredbe da clanovi lgbtq zajednice dobivaju dodatnih 200e mjesecno stipendije.

    Sto reci na to tek?

  7. Kao da ne znate da ovo samo rezultira time da već postojeći poduzetnici samo otvore firmu na ime svoje žene da pokupe pare lol

  8. Prekrasno 🙂

    Gazi muške, jebiga, istrpit će.

    FUJ FUJ FUJ FUJ FUJ FUJ FUJ FUJ FUJ FUJ FUJ FUJ FUJ

  9. Je li ovo pozitivna diskriminacija žena ili negativna diskriminacija muškaraca i medvjeda??? 🤔

  10. To se zove pozitivna diskriminacija i potpuni je trash kao i svaka druga diskriminacija.

    Trebali su dodat još par bodova za transrodne osobe, i eto Keruma među transrodnim.

Leave a Reply