Mis juhtub, kui intensiivpõllunduse tõttu kahaneb elurikkus ja põllule kerkib päiksepark? Pargis võiks elustiku mitmekesisus suureneda, sest intensiivselt majandatud põllumaa on nigel elupaik, osutab Hollandi teadlaste uus uuring.

Vähenenud viljakusega põllule rajatud päikesepargil on lootus muutuda poolloodusliku rohumaa sarnaseks, sest seal niidetakse harvem. Paneelide varjutuse tõttu muutub mikrokliima ja taimede kasv. See võib mõjutada putukaid: tolmeldajad on olulised taimedele, maapinnal ja rohus tegutsevad lülijalgsed ohjavad kahjureid ja suunavad toitaineid ringlusse, kirjutab linnuökoloog Marko Mägi ajaveebis Zooloogid 2.0.

Päikesepargis on tolmeldajaid rohkem

Hollandis võrdlesid teadlased 15 päikesepargi ning nende läheduses asuvate intensiivselt majandatud ja poollooduslike rohumaade taimestikku ja lülijalgseid. Autorite väitel ei ole varem nii suuremahuliselt päikeseparkide elustikku uuritud.

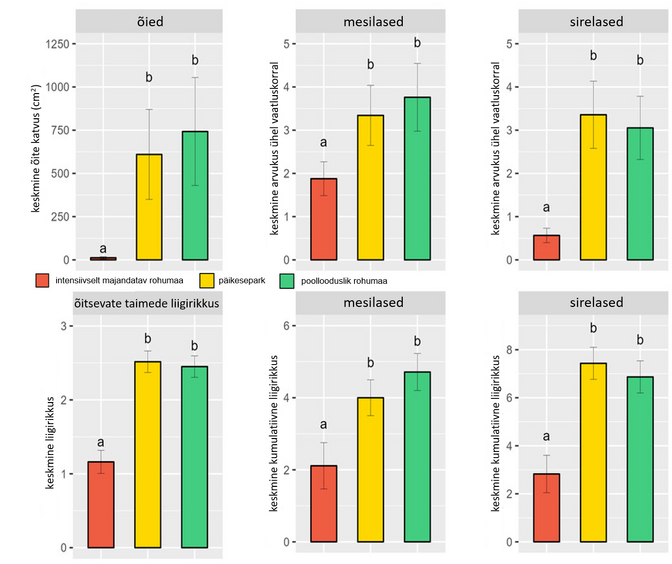
Võrreldes intensiivselt majandatud rohumaaga olid päikesepargis taimerikkus ja õierohkus suuremad, olles sarnased poolloodusliku rohumaa näitajatega. Mesilasi ja sirelasi kui olulisi tolmeldajaid oli päikesepargis ja poollooduslikul rohumaal oluliselt samuti rohkem. Samas liblikate arvukusele päikesepargil mõju ei olnud. Maapinnal ja rohus elavate lülijalgsete liigirikkus oli sarnane kõigis elupaikades, kuid nende arvukus ja biomass olid päikesepargis väiksemad kui rohumaadel.

Õite, mesilaste ja sirelaste näitajad uurimisaladel. Vurrud tähistavad ± standrdviga (SE). Erinevad tähed tulpade kohal märgivad statistiliselt olulist erinevust (p Autor/allikas: Joonise eestindas Marko Mägi.

Tolmeldajate, liblikate ning maapinnal ja rohus elavate lülijalgsete kooslused erinesid elupaiguti. Päikesepargis olid need mitmekesisemad kui intensiivrohumaal, kus unikaalseid liike ei olnud. Mesilaste ja sirelaste liigirikkus oli samuti intensiivrohumaal väiksem.

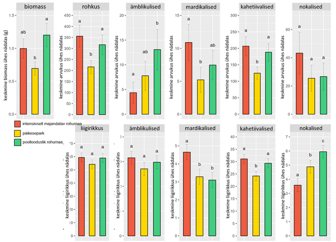
Putukate liigirühmadest oli arvukaimalt kahetiivalisi, kelle hulka kuuluvad näiteks kärbsed, sirelased ja parmud. Siiski oli neid päikesepargis oluliselt vähem kui intensiiv- ja poollooduslikul rohumaal. Mardikate liigirikkus ja rohkus olid samamoodi päikesepargis madalamad kui intensiivrohumaal. Autorid arvavad, et liblikate ning maapinnal ja rohus elavad lülijalgsete arvukuse vähenemise põhjus on ehitustöödest tekkinud häiring ja päikesepaneelide olemasolu.

Maapinnal ja rohus elavad lülijalgsete näitajad. Vurrud tähistavad ± standrdviga (SE). Erinevad tähed tulpade kohal märgivad statistiliselt olulist erinevust (p Autor/allikas: Joonise eestindas Marko Mägi.

Andmed viitavad, et päikesepark soosib ja säilitab intensiivselt majandatava rohumaa bioloogilist mitmekesisust, eriti taimede ja tolmeldajate mitmekesisust. Päikeseparki projekteerides ja hooldades tuleb uuringu autorite sõnul silmas pidada, et muutes paneeliridade vahekaugust, taimestiku hooldamist ja ümbritsevat maastikku on seal võimalik bioloogilist mitmekesisust soosida. Nii võivad päikesepargid toimida mitme otstarbeliste maastikena, soosides elurikkust.

Uuring ilmus ajakirjas Journal of Applied Ecology.