Sign up for the Starts With a Bang newsletter
Travel the universe with Dr. Ethan Siegel as he answers the biggest questions of all.
Back in the 1920s, the first pieces of crucial evidence came in that indicated a truth about our reality that we’ve been stuck with ever since: the Universe is expanding. This simple fact has led to an enormous suite of subsequent discoveries: the hot Big Bang, the cosmic microwave background, the growth of the large-scale structure of the Universe over cosmic time, and much more. It’s also led to a profound existential question: how will the Universe end? If it’s expanding, which it is, and the expansion rate has decreased over time, which the evidence also supports, then what will happen in the far future? Will the expansion continue forever? Will it continue to decrease, or will it increase again? And if it does decrease, will it ever drop to zero and then, afterward, reverse itself?
That last scenario, once favored by many, would lead to a set of circumstances that would behave like a “Big Bang in reverse,” also known as a Big Crunch. It would have seemed to many, with the discovery of dark energy (and the consistency of dark energy with being a cosmological constant), that the Big Crunch would have been inconsistent with how we observed the Universe to actually be. But with the latest DESI data indicating that dark energy is not just evolving, but may be weakening at present, many are putting this once-discarded fate back onto the table. Is that justified? That’s what astronomer Kirk Korista wants to know, asking:
“In so many of the popular consumption articles that discuss the possibility that the cosmological constant (or dark energy) might not be a constant — and in particular may be undergoing a recent weakening — always the next sentence states that this might mean that eventually the universe could/would/might be heading for a ‘Big Crunch.’ But why the heck is this the automatic ‘go to’ future scenario?”
It’s a big question: arguably one of the biggest in the entire Universe. The Big Crunch might now be “not impossible” as a potential future scenario, but it’s a long way from being the favored outcome. Here’s what science has to say at present.

Unlike the picture that Newton had of instantaneous forces along the line-of-sight connecting any two masses, Einstein conceived gravity as a warped spacetime fabric, where the individual particles moved through that curved space according to the predictions of general relativity. In Einstein’s picture, gravity is not instantaneous at all, but instead must propagate at a limited speed: the speed of gravity, which is identical to the speed of light. Unlike conventional waves, no medium at all is required for these waves to travel through.
Credit: LIGO scientific collaboration, T. Pyle, Caltech/MIT
The key idea all comes down to the fundamental insights of Einstein’s general theory of relativity.
- First, that space and time themselves are woven together into a single, four-dimensional fabric known as spacetime.
- Second, that the properties of spacetime, both how it’s curved and how it will evolve, are determined by the total amount (and distribution) of all forms of matter and energy, combined, that are within that spacetime.
- And thirdly, that it’s the curvature and evolution of that spacetime itself that determines how the matter and energy present within it will move and evolve as well.
This is not a “circular argument” about how general relativity works; it is a very powerful statement that encapsulates how most physical systems — particularly physical systems governed by differential equations — actually work.
What we normally need to do is start with some configuration of our physical system at one moment in time. We need to know what forms of matter-and-energy are present, where they’re located and how they’re distributed, what their densities are, and how they’re moving/changing at that one particular moment. Then, from that, we can calculate what the system will be like once the next moment has elapsed, including how all of those physical quantities we were interested in have changed over that moment. And then, when the next subsequent moment arrives, it’s that same equation, albeit with the new values plugged into it, that will tell us what happens when each moment arrives thereafter. And we can do this, on and on, for as long as we like.

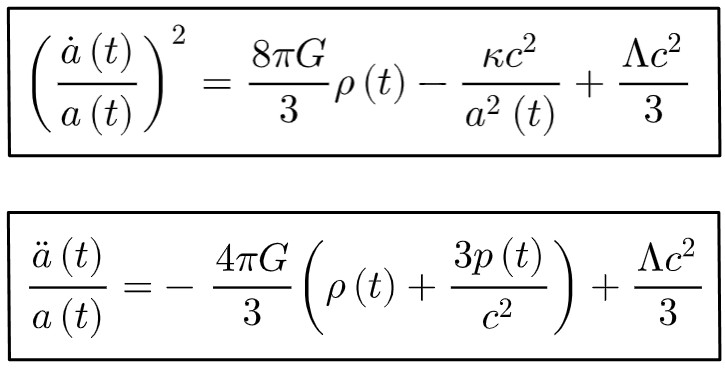
These two equations, known as the Friedmann equations, describe how an isotropic and homogeneous Universe evolves by expanding or contracting (the left-hand side) dependent on the energy density as a function of time (ρ on the right-hand side) as well as other parameters like curvature, pressure, and the cosmological constant. If you know everything about energy density as a function of time, you can figure out how the Universe will expand, contract, or otherwise evolve to arbitrary precision.
Credit: Cameron Bunney/Ville Hirvonen
That’s only possible because we know, explicitly, how these two sides of the equation are related to one another. Einstein’s field equations tell us how these relationships work in general, and in the context of a Universe that’s:
- isotropic (or the same, on average, in all directions),
- homogeneous (or the same, on average, in all spatial locations),
- and expanding (where the distance between any two well-separated points is increasing with time at a specific rate),
we have a special case of those field equations: the Friedmann equations. It’s by using these equations — again, a coupled set of differential equations — that we can use what we observe about the Universe today to figure out how it will continue to evolve far into the future.
For a long time, arguably throughout most of the 20th century, if you were to ask cosmologists (people who study the large-scale properties of the Universe) what the biggest goal of their field was, they would have told you it was to measure and determine two things. The first one would have been how fast the Universe is expanding and the second would have been either how the expansion rate had changed over its history (the so-called deceleration parameter) or what the ratios of the various forms of energy present within the Universe were. With that information in hand, we could, using these equations that come straight from Einstein’s theory itself, determine the entire future history of our cosmos.

These data points, sorted by year, show different measurements of the expansion rate of the Universe using the cosmic distance ladder method, with the data points falling into two main groups: one clustered around 50 km/s/Mpc and one clustered around 100 km/s/Mpc. The results of the Hubble Key Project, released in 2001, are shown with the red bars.
Credit: J. Huchra, 2008
This went through many stages, historically. When the “Hubble wars” took place in the second half of the 20th century, people were arguing over whether the rate the Universe was expanding at, right now, was more like 50-55 km/s/Mpc or 100 km/s/Mpc. This was an argument of cosmic importance, because, if the Universe was made 100% of matter and radiation (which was commonly assumed at the time), then a Universe that was expanding at 100 km/s/Mpc would necessarily be young: about 10 billion years young, or several billions of years younger than the oldest known stars.
On the other hand, if the Universe were only expanding at a rate of 50-55 km/s/Mpc, then the Universe couldn’t have been made 100% of matter and radiation, as it would be far too old: about 20 billion years old, or several billions of years older than the oldest known stars. There would have to be some other form of energy in the Universe in addition to matter and radiation. It couldn’t have been dark matter, black holes, neutrinos, or any of the other known particles of the Standard Model; it needed to be something foreign. Many suggested “spatial curvature” could bridge the gap, leading to a Universe that was only 14-16 billion years old, but where most of the energy of the Universe wasn’t in the form of matter-based or radiation-based energy.

If the Universe had just a slightly higher matter density (red), it would be closed and have recollapsed already; if it had just a slightly lower density (and negative curvature), it would have expanded much faster and become much larger. The Big Bang, on its own, offers no explanation as to why the initial expansion rate at the moment of the Universe’s birth balances the total energy density so perfectly, leaving no room for spatial curvature at all and a perfectly flat Universe. In regions that are overdense, the expansion can be overcome.
Credit: Ned Wright’s cosmology tutorial
When it came to the fate of the Universe, the actual density of matter-and-radiation compared to the expansion rate — where the expansion rate defines a “critical density” (i.e., what would be on the border of recollapse vs. expanding forever if the Universe were 100% made of matter) — would determine absolutely everything, at least, from a theoretical point-of-view. Most theoretical cosmologists who worked on the issue noted that there were three main scenarios that could apply to the fate of the Universe. They all began the same way: at the start of the hot Big Bang, where the Universe begins rapidly expanding and the density of the matter and radiation within it begins dropping. But then, as the expansion continues, there are three scenarios of interest.
- The matter density of the Universe could be slightly greater than the critical density, which would imply an overdense Universe: one where the matter/energy density is too great for the initial expansion rate. This would lead to the Universe expanding to a maximum size, ceasing to expand, and then recollapsing, ending in a Big Crunch.
- The matter density of the Universe could be slightly below the critical density, which would imply an underdense Universe: one where the matter/energy density is too small to combat the initial expansion rate. This leads to the Universe continuing to expand, forever and ever, with the expansion rate approaching, but never reaching, zero.
- Or the Universe could exhibit the “Goldilocks,” or “just right,” set of conditions where the matter density and the expansion rate oppose one another and match perfectly. In this case, the Universe continues to expand forever, but at the slowest rate possible without ever recollapsing.
And then, in the late 1990s, the critical data, from type Ia supernovae, came in. And wow, was it ever surprising.

The expected fates of the Universe (top three illustrations) all correspond to a Universe where the matter and energy combined fight against the initial expansion rate. In our observed Universe, a cosmic acceleration is caused by some type of dark energy, which is hitherto unexplained. All of these Universes are governed by the Friedmann equations, which relate the expansion of the Universe to the various types of matter and energy present within it.
Credit: E. Siegel/Beyond the Galaxy
Which of those three scenarios did the data support?
None of them.
By looking farther and farther away, and measuring both the distance to and redshift of those distant signals, we could reconstruct not only how fast the Universe was expanding right now (an issue that was settled in 2001, to be ~72 km/s/Mpc, indicating that both groups in the “Hubble wars” were wrong), but could see how both:
- the expansion rate was changing over time,
- as well as what the different forms of matter-and-energy present in the Universe were.
The Universe wasn’t made of just matter-and-radiation, even including dark matter, black holes, neutrinos, and all the contributions of everything in the Standard Model.
Instead, there was another component present, and one that was behaving fundamentally in a different fashion from all of the others: dark energy. Whereas all these other forms of energy become less dense as the Universe expands — where the total amount of energy either remains the same (for matter) or decreases (for radiation, as its wavelength stretches) as the volume of the Universe expands, decreasing the energy-per-unit volume that defines the energy density — for dark energy, the energy density is the thing that remains constant: the same thing as Einstein’s cosmological constant from his original formulation of general relativity. Even as the Universe expands, and “new space” gets created in the process, the energy density never dilutes.

While matter and radiation become less dense as the Universe expands owing to its increasing volume, dark energy is a form of energy inherent to space itself. As new space gets created in the expanding Universe, the dark energy density remains constant.
Credit: E. Siegel/Beyond the Galaxy
This changes everything. No longer would comparing the matter and radiation densities with the critical density determine the Universe’s fate; dark energy triggers an entirely different scenario. As long as matter and radiation are dominant, the Universe’s expansion rate drops as it expands, because the overall energy density goes down. But once dark energy becomes dominant, the Universe’s expansion rate stops dropping, and instead approaches a positive, finite value. Whereas before, when matter and radiation dominated, you could observe any galaxy within the Universe and watch its apparent recession speed drop over time, even as its distance from you increased, with dark energy dominating the equation, that galaxy will speed up in its recession from you, which is why astronomers call it the accelerated expansion of the Universe.
While most of the data fully supported a form of dark energy that did indeed have a constant energy density for a long time, including data from the cosmic microwave background and from distant type Ia supernovae, recent data concerning the large-scale structure of the Universe indicates otherwise. Instead of a constant energy density, the best-fit to the latest Dark Energy Spectroscopic Instrument (DESI) data (see here and here) supports a form of dark energy that:
- started off slightly more energetic than a cosmological constant would be,
- then weakened, in recent times, to become slightly less energetic than a cosmological constant would be,
- and now appears to be weakening still further.
It’s a truly wild story, and one that has profound implications.

The raw data from the 2024 DESI collaboration’s key publications has been binned into several different redshifts and plotted against the expectations from a “vanilla” dark energy model. Particularly at intermediate redshifts (between 0.5 and 1.5), this data disfavors a simple, non-evolving dark energy model and instead appears to suggest that, perhaps, dark energy evolves (and weakens) with time.
Credit: DESI collaboration, arXiv:2404.03002, 2024
Well, it would have profound implications, at least, if we were certain that this is what’s actually happening. If the Universe didn’t have a constant form of dark energy within it, where the energy density remained constant, but rather had an evolving form of dark energy within it, then the only way to determine the fate of the Universe would be to predict and understand precisely how that dark energy will evolve into the future. But, because our equations that govern the expanding Universe are based on the notion that we understand how energy densities evolve as the volume of the Universe increases, we’re now thrown into a world of uncertainty.
The best guide we have, if the old theory is no longer reliable, is to base our best model of this dark energy off of observable, measurable values. But that’s a problem with “only” the DESI data we have: it’s not high-quality enough to be conclusive. Sure, we talked about how dark energy that begins as slightly more powerful than a cosmological constant, then declines to be less powerful, and is still declining today, could be extrapolated in any number of ways. It could, for example:
- continue to decline, but still remain as an accelerating force (so long as the dark energy equation of state, w, remains below -⅓),
- continue to decline and switch over from being an accelerating force to one where the expansion coasts, leading to a conventional “heat death” scenario similar to the earlier “Goldilocks” case,
- continue to decline, and start behaving as a decelerating force, perhaps even one that could lead to a Big Crunch if the dark energy equation of state becomes large and positive,
- cease declining, and lead to a state where the expansion continues and accelerates forever,
- or that stops declining and increases again, becoming even more powerful than a cosmological constant, leading to a Big Rip.
All of these scenarios, as well as everything in between, remain on the table.

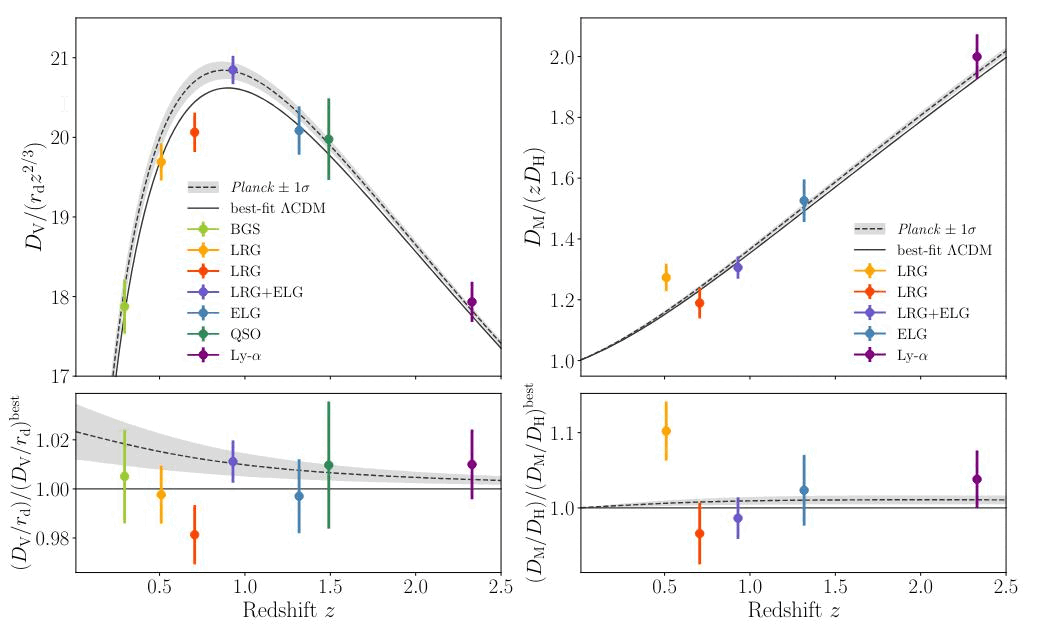
These graphs show the fit for evolving dark energy, in terms of the parameters w_0 and w_a, where a constant cosmological constant for dark energy corresponds to w_a = 0 and w_0 = -1, exactly. Note that the DESI data on its own is consistent with constant dark energy, but that when you combine CMB and supernova (for example, DESY5, as shown in the middle panel) data with it, it favors evolving dark energy instead.
Credit: DESI Collaboration/M. Abdul-Karim et al., DESI DR2 Results, 2025
But the problem is how weak-sauce our evidence actually is. In both particle physics and astrophysics, we have a high bar for declaring a new discovery: the statistical significance needs to cross what we call the 5-σ threshold. That corresponds to being so statistically significant that the error bars are just one-fifth the size (or less) needed to signify a departure from the null hypothesis. In that scenario, there’d be only around 1-part-in-3-million chance of a statistical fluke occurring.
So where is the DESI data in terms of the strength of the signal we see? It depends on what else you combine it with.
- If you combine it with nothing, the signal is pretty insignificant: barely crossing the 2-σ threshold, or from an astrophysics point-of-view, something that you might bet an undergrad’s summer research project on, but nothing of higher stakes.
- If you combine it with CMB data, the signal rises up a little higher: up to past the 3-σ threshold, or what you might consider betting a graduate student’s PhD thesis (and career) on.
- But then, if you combine it with supernova data, you have to keep in mind that there are three different supernova data sets: from Pantheon, from DESY, and from Union. One of them increases the significance to 4-σ, one of them keeps the significance the same at about 3-σ, and the last one decreases the significance to just 2.5-σ.
In other words, the data isn’t nearly high-quality enough to justify even concluding that “dark energy definitely is evolving.” The notion that we can now say how dark energy is evolving, and that we can say whether the data favors a Big Crunch versus an eternal expansion and a heat death, is not only unjustified by the data we have, but is completely absurd.

Looking at the data points from DESI (top row) or from the various supernova collaborations (bottom row), it’s very clear that the data, at this point in time, is not sufficiently good to robustly discriminate between the various options for how dark energy is behaving in the Universe. The fact that the three different supernova samples, DESY, Union, and Pantheon+, give such different answers from one another should be a troubling indication that we haven’t yet uncovered the full story.
Credit: DESI Collaboration/M. Abdul-Karim et al., DESI DR2 Results, 2025
Still, it’s a possibility that’s worth considering and entertaining. There’s an old saying — not in physics, but in psychology — that the best predictor of future behavior is past behavior. In the context of the expanding Universe, the past behavior of the expanding Universe is the only meaningful data we have for making sense of what’s going to happen in the future.
But right now, 13.8 billion years after the Big Bang, we can only see part of the curve for how anything evolves: the part that goes from the earliest epochs we can measure up to the present day. Beyond that, we can only extrapolate, and that means the onus is on us to do that extrapolation responsibly. On the one hand, we want to use the best data that we have and to be explicit about what the best fit to that data indicates or implies about the future evolution of the Universe. But on the other hand, we want to be honest and genuine about the uncertainties and error bars on that data, and to measure the confidence with which we express our results.
If we do that, I’d leave you with the following thoughts.
- It hasn’t yet been established that dark energy is evolving.
- If we can establish that first point — and new observatories like SPHEREx, Euclid, Roman, and Rubin should enable us to either establish or reject the idea — then the big question is how dark energy has evolved and appears to still be evolving today.
- And if we can measure that evolution, the next step is to extrapolate, complete with errors and uncertainties, how that evolution should proceed into the future.
If you want to know whether our Universe is headed for a Big Crunch, we first have to establish that dark energy is evolving, and next show that it’s consistent with having been stronger in the past and is now weakening to be less important than a cosmological constant. After that, we’ll then have to look at the data and see if it favors evolving toward a Big Crunch scenario over a scenario that leads to a heat death (or something else); right now, we have no such indications at all. It’s important to be creative, especially now, in the early stages of ideation, but it’s also important to be guided by the data, not by our hopes or preferences. Once we start relying on anything other than the evidence we actually have, we’ve stopped doing science, and have replaced it with mere speculation.
Send in your Ask Ethan questions to startswithabang at gmail dot com!
Sign up for the Starts With a Bang newsletter
Travel the universe with Dr. Ethan Siegel as he answers the biggest questions of all.