The Big Bang theory has dominated our understanding of the universe’s origin for almost 100 years. It describes a moment when all of space, time, and energy were born from a single infinitely dense point. But what if it’s not like that? What if the universe didn’t explode from nothing? What if it rebounded—bounced—from something utterly different?
That’s the notion a group of physicists, led by Professor Enrique Gaztañaga from the Institute of Cosmology and Gravitation at the University of Portsmouth are now exploring. In a paper published in Physical Review D, they discuss a “gravitational bounce” that could replace the singular event of the Big Bang with a more natural, continuous cycle of collapse and rebirth.
The End that Becomes a Beginning
In this new hypothesis, the universe may have originally existed within a giant black hole, created within a massive “parent” universe. As matter collapsed inward, quantum mechanics, the laws that govern the smallest particles, would not allow all the matter to occupy the same state. That process would generate pressure, stopping the collapse before a singularity could form. The energy trapped inside the black hole would then bounce outwards in a burst of expansion to form a new universe.

Graphical representation of the spherical collapse. There are three uniform spherically symmetric distributions: (i) outer background ρ¯, (ii) inner region with radius less than R and larger mean density ρ>ρ¯, and (iii) empty space outside R. (CREDIT: Physical Review D)
For you, that means the cosmos you inhabit could be the next generation of another universe that once collapsed under its own gravity. The researchers call this idea the Black Hole Universe model. The model uses two of nature’s most mysterious forces, gravity and quantum mechanics, and illustrates how they may simultaneously move together rather than against each other.
Gaztañaga described that the group’s examination “looks in, rather than out.” Instead of starting at an expanding universe and questioning how it started, they asked what happens when a big mass of matter collapses. He said the outcome is “gravitational collapse does not have to end in a singularity.” Given the correct conditions, a bounce not only became possible, it became inevitable.
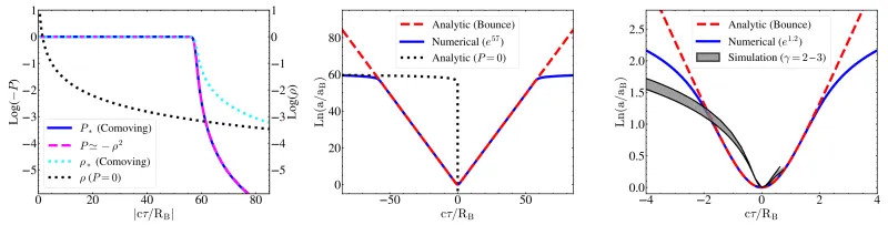
Quantum pressure and Rebound of the Universe
The heart of the idea is that there is a simple equation that describes how the pressure changes as you compress the matter. While the matter collapses, the pressure becomes negative and mimics the dark energy effect, which is what we believe is pushing the universe apart today. This negative pressure causes the matter to rapidly expand and mimics the inflation phase that cosmologists believe happened shortly after the Big Bang.
The model does not depend on hypothetical particles or new laws of physics. It is using the same degeneracy pressure that white dwarfs and neutron stars rely upon to not completely collapse. As the density approaches the critical limit, this quantum pressure pushes back, creating a bounce radius, where it stops contracting and begins to expand.

EoS (𝑃 =𝑃(𝜌), blue line, and 𝜌, cyan line) in units of 𝜌𝐺, derived using the numerical solution. (CREDIT: Physical Review D)
This bounce could account for the inflationary growth of the universe, its nearly flat geometry, and perhaps even the current acceleration of the expansion of the universe, and does so without imprisonment or applicability of exotic fields or arbitrary constants. Numerical models give an e-fold number of approximately 57, which closely matches the data from the Planck satellite mission, which mapped the cosmic microwave background.
A Universe Within a Black Hole
When viewed outside, the collapsing matter would appear to be an ordinary black hole. The layer of matter at the boundary of a black hole, known as the event horizon, would ensnare everything that plunges within it. However, from the interior of the black hole, remarkable occurrences are taking place: matter bounces and then inflates, a new region of spacetime forms, and a universe like ours is concealed beyond that boundary.
This link between black holes and cosmic genesis suggests an interesting scenario: every black hole may be a seed of a new universe, which implies that our universe may have sprung from one of those cosmic wombs. If so, then inside that black hole, time would flow forward normally, even if an outside observer saw a stationary black hole frozen in spacetime.
The model also predicts that our universe should have a small but measurable curvature; it should be slightly closed as the surface of a sphere. Gaztañaga and co. evaluated a curvature of approximately –0.07 ± 0.02. Within the next few years, newer astronomical surveys may enable us to measure the curvature objectively.

Time evolution in the radius of the FLRW cloud 𝑅(𝜏) =𝑎(𝜏)𝜒*, first forming a BH and then bouncing inside to form our current observed expanding universe. (CREDIT: Physical Review D)
A Cycle without Singularities
Classical physics states that both black holes and the Big Bang end in singularities—where density is infinite and the laws of nature cease to apply. Such singularities have long haunted cosmological musings. Yet, if quantum effects are added, like in this model, the singularities go away.
In this model, the beginning of the universe is not a sharp explosion; it is a smooth bounce. Matter compresses into a high-density quantum state, stops collapsing, and then expands again. Rather than being an absolute starting point for everything in existence, the Big Bang then becomes a transition event or bounce—for some period of time out of a precursory phase of cosmic evolution.
The model’s simplicity gives it appeal. It directly links the genesis of the cosmos to physics that already apply at dense stellar cores. It replaces the mystery of an initial singularity with a bounce mechanism grounded in well-established principles of quantum mechanics and general relativity.
Testing the Bounce With New Eyes
The theory will soon face predictions with real-world tests. Gaztañaga is the Science Coordinator for ARRAKIHS, a soon-to-be-launched European Space Agency mission, intended to investigate the faint outer regions of galaxies. The spacecraft has four wide-angle telescopes onboard – two near-infrared, one optical, and another near-ultraviolet – that will combine and reach into the distant halo of gas and dark matter that traces out faint glimpses of how galaxies have formed and evolved.

iSIM-170 camera developed by Satlantis Miscrosats S.L., the company responsible of the ARRAKIHS instrument. (CREDIT: Satlantis Miscrosats S.L.)
The faint outer regions harbor what astronomers refer to as the “fossil record” of galaxy formation. If the universe indeed had gravitational bounce origins, these outer regions would have preserved tiny remnants of the early universe’s many physical characteristics that could be recognized as deviations from what the Big Bang theory predicts.
Observing these regions could crack open a new method for composing observations that will answer the burning question of the genesis of spacetime: were we indeed born from an explosion and expansion, or did we emerge from a gravitational bounce prior to collapsing into one?
Gaztañaga believes these implications truly go beyond the initial technical questions the model would resolve. “One of the main strengths of the model,” he said, “is that it makes predictions that can be tested in the real world.” It could affect how scientists view dark matter, supermassive black holes, and the creation of galaxies like the Milky Way.
For anyone who has ever looked up at the night sky, this perspective is profound. The story of the universe, it seems, may not start with a bang but rather with a pulse, a heartbeat, if you will, from some deeper cosmic past.
The Practical Impacts of the Research
If evidence confirming the gravitational-bounce model is measurable, the impact could change cosmology forever. Following the model means that singularities do not really form, and that the “something from nothing” paradigm, or paradigm of creation, is likely better described by cycles of collapse and collapse-and-renew.
Every black hole could be a gateway to producing a new universe, thus restructuring creation to mean process rather than an instantaneous event. The same could also unify gravity with quantum mechanics, two of the most powerful yet disconnected theories in physics, and drive future science missions (like ARRAKIHS) to quantitatively test how galaxies and the broader structures of cosmology came to be.
It reimagines existence as the cosmos of a living regenerating system—not static, but breathing. It invites reverence, wonderment, and contemplation about our role in that existence, and what existence even means as a catalyst for change over time.
Research findings are available online in the journal Physical Review D.
Related Stories
Like these kind of feel good stories? Get The Brighter Side of News’ newsletter.