
Artist’s rendering of the accretion disk in ULAS J1120+0641, a very distant quasar powered by a supermassive black hole with a mass two billion times that of the Sun. Credit: ESO/M. Kornmesser
An international team of astronomers have employed the Spektr-RG spacecraft and various ground-based telescopes to investigate a distant quasar known as ID830. Results of the new observations, published November 7 on the pre-print server arXiv, indicate that ID830 is the most X-ray luminous radio-loud quasar known to date.
Quasars, or quasi-stellar objects (QSOs), are active galactic nuclei (AGN) in the centers of active galaxies, powered by supermassive black holes (SMBHs). They showcase very high bolometric luminosities (over one quattuordecillion erg/s), emitting electromagnetic radiation observable in radio, infrared, visible, ultraviolet and X-ray wavelengths.
Luminous, more luminous, most luminous
One of the particularly interesting radio-loud AGNs is eFEDS J084222.9+0010000, or ID830, at a redshift of 3.43. It reaches a bolometric luminosity of about one quindecillion erg/s, which suggests that it hosts either an extremely massive SMBH near the maximum mass limit of 10 billion solar masses, or an SMBH in a super-Eddington accretion phase.
A group of astronomers led by Sakiko Obuchi of the Waseda University in Tokyo, Japan, decided to address this question by performing a multiwavelength study of ID830.
“By combining eROSITA X-ray spectroscopy, SDSS, and Subaru/MOIRCS rest-frame ultraviolet–optical spectra, and extensive radio data from LOFAR, GMRT, FIRST, ASKAP, and VLASS, we have revealed that ID830 represents a rare example of a super-Eddington, radio-loud quasar exhibiting an extreme X-ray excess,” the researchers explain.

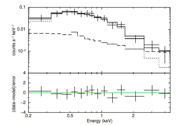
The X-ray spectrum in the observed frame of ID830 fitted by Xspec. Credit: arXiv (2025). DOI: 10.48550/arxiv.2511.05029
The study found that ID380 has an X-ray luminosity at a level of 0.01 quindecillion erg/s, which makes it one of the most X-ray luminous radio-loud quasars so far detected. Its bolometric luminosity was measured to be around 0.076 quindecillion erg/s, which yields an Eddington ratio of 1.4, therefore confirming super-Eddington accretion.
According to the study, ID830 has a moderate reddening of about 0.39 mag. The mass of the supermassive black hole was estimated to be about 440 million solar masses.
Furthermore, it was found that ID830 showcases a high ratio of ultraviolet-to-X-ray luminosities, which was calculated to be -1.2. This is higher when compared to other quasars and little red dots (LRDs) in the super-Eddington phase with similar ultraviolet luminosities. The LRDs are assumed to be a type of early AGNs with SMBHs.
The estimated jet kinetic power of ID830, at a level of 1–10 quattuordecillion erg/s, is comparable to its radiative luminosity. This suggests that mechanical energy from the jet can efficiently couple to the host interstellar medium.
Transitional quasar
The authors of the paper note that the results indicate that ID830 is in a transitional phase in which the corona and jet are simultaneously energized following an accretion burst.
“ID830 may represent a post-burst super-Eddington quasar bridging the gap between sub-Eddington quasars and the X-ray weak, rapidly accreting ‘little red dots’ recently identified with JWST,” the scientists conclude.
Written for you by our author Tomasz Nowakowski, edited by Sadie Harley, and fact-checked and reviewed by Robert Egan—this article is the result of careful human work. We rely on readers like you to keep independent science journalism alive.
If this reporting matters to you,
please consider a donation (especially monthly).
You’ll get an ad-free account as a thank-you.
More information:
Sakiko Obuchi et al, Discovery of an X-ray Luminous Radio-Loud Quasar at z=3.4: A Possible Transitional Super-Eddington Phase, arXiv (2025). DOI: 10.48550/arxiv.2511.05029
Journal information:
arXiv
© 2025 Science X Network
Citation:
ID830 is the most X-ray luminous radio-loud quasar, observations find (2025, November 17)
retrieved 18 November 2025
from https://phys.org/news/2025-11-id830-ray-luminous-radio-loud.html
This document is subject to copyright. Apart from any fair dealing for the purpose of private study or research, no
part may be reproduced without the written permission. The content is provided for information purposes only.