After 17 years of planning and construction, China’s Jiangmen Underground Neutrino Observatory (JUNO) has finally opened its scientific eye. In just two months of operation, this massive detector has already delivered physics results with unprecedented precision, showing signs it could solve a long-standing puzzle in particle physics.
The 20,000-ton spherical detector, buried 700 meters beneath the surface in Guangdong province, is engineered to study neutrinos, those elusive quantum particles that pass through our bodies by the trillions every second without leaving a trace. With its record-breaking size and sensitivity, JUNO could soon clarify the mysterious mass ordering of these particles and put long-debated theories to rest.
A Laboratory Like No Other
The detector itself is a marvel of modern engineering. At the heart of JUNO lies a 35.4-meter-wide acrylic sphere filled with liquid scintillator, a substance that emits light when a neutrino interacts with it. This central sphere is surrounded by 43,212 photomultiplier tubes, devices sensitive enough to detect a single photon. A 35-kiloton water Cherenkov detector and a plastic scintillator layer form additional protection, shielding the core from cosmic rays and background noise.

The facility is located precisely 52.5 km from the Yangjiang and Taishan nuclear power plants, a carefully chosen distance that optimizes the detection of reactor antineutrinos, which are JUNO’s main target. According to the Chinese Academy of Sciences, the detector began collecting data on August 26, 2025, and has since maintained a duty cycle of97.8%, reflecting excellent stability during its early science runs.
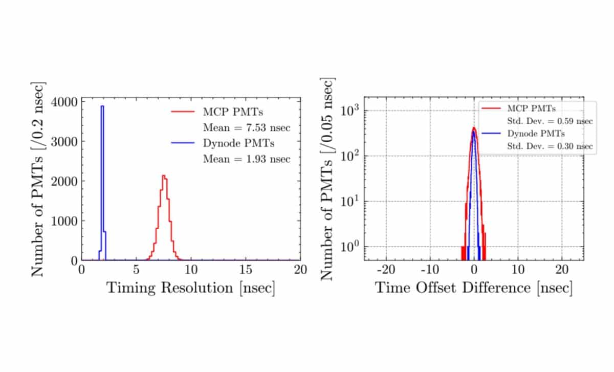
Breakthrough Precision in Early Results
JUNO’s mission is to determine neutrino mass hierarchy, the order of the masses of the three neutrino types: electron, muon, and tau. Although researchers have long known these particles have different masses, their precise ordering remains one of physics’ major unsolved questions. JUNO aims to resolve it using high-precision measurements of neutrino oscillations.

In a press conference held on November 19, project spokesperson Yifang Wang shared that, using just 59 days of data, JUNO has already achieved 1.8 times greater precision in measuring solar neutrino oscillation parameters than any previous experiment. The detector also confirmed the mild discrepancy between measurements based on solar and reactor neutrinos, a difference previously observed but not well-understood. “With this level of accuracy, JUNO will soon determine the neutrino mass ordering, test the three-flavor oscillation framework, and search for new physics beyond it,” Wang said.
Cleanliness, Calibration, and Cutting-Edge Optics
Achieving these results required more than just size, it demanded extreme purity and exact calibration. The liquid scintillator underwent five purification steps on-site to reach an attenuation length of 20.6 meters at 430 nanometers, exceeding JUNO’s optical requirements. Every internal surface was carefully cleaned, and all equipment operated under a continuous nitrogen purge to prevent radon contamination. The measured levels of uranium and thorium in the liquid were an order of magnitude lower than JUNO’s design thresholds.
The entire system is kept under tight control. A network of calibration tools, ranging from automated units to cable-guided and remotely operated vehicles, ensures that every photon detection can be precisely mapped back to its origin. According to a technical report submitted to Chinese Physics C, the energy resolution for detecting 0.511 MeV gamma rays from a calibration source reached 3.4%, a strong result for such a massive detector.
Ready for Decades of Discovery
JUNO’s success so far reflects years of meticulous international collaboration. The project involves over 700 scientists from 75 institutions across 17 countries. From its earliest design phases to the complex logistics of filling its massive detectors with ultra-pure materials, the effort required perseverance and precision at every step.
During the first two months of operation, JUNO also demonstrated the ability to monitor multiple types of neutrinos, from solar to atmospheric, even those potentially emitted by supernovae or radioactive processes within Earth.
As Prof. WEN Liangjian, physics analysis coordinator for JUNO, said during the announcement, “Many factors contributed to this success, among which the convergence of experience and expertise in liquid scintillator detectors and related analysis techniques—brought together by groups from around the world—was surely pivotal in achieving JUNO’s unprecedented level of performance.”